tirto.id - Seorang fisikawan asal Prancis bernama Charles Agustin Coulomb pada 1785 masehi, menemukan hukum dasar gaya listrik antara dua partikel yang bermuatan. Penelitiannya tersebut dikenal dengan nama hukum Coulomb.
Dilansir dari e-modul Kemdikbud, Hukum Coulomb berbunyi “Besarnya gaya tarik-menarik atau tolak menolak antara dua benda bermuatan listrik, sebanding dengan hasil perkalian kedua muatan dan berbanding terbalik dengan kuadrat jarak antara kedua muatan tersebut”.
Mengutip dari Buku Pedoman Umum Pelajar Fisika oleh Tri Astuty, gaya Coulomb atau hukum Coulomb mirip dengan gaya Gravitasi, kedua gaya ini adalah gaya yang berbending terbalik dengan kuadrat jarak, serta tergolong ke dalam gaya alamiah.
Melansir laman Rumah Belajar Kemdikbud, gaya Coulomb dibagi menjadi tiga jenis, di antaranya gaya Coulomb antara dua muatan titik, gaya Coulomb muatan-muatan segaris, serta gaya Coulomb muatan-muatan tidak segaris.
Gaya Coulomb antara Dua Muatan Titik
Dua muatan listrik sejenis tolak menolak dan dua muatan listrik tidak sejenis tarik menarik. Dalam hal ini berarti antara dua muatan listrik timbul gaya listrik tolak menolak atau tarik menarik.
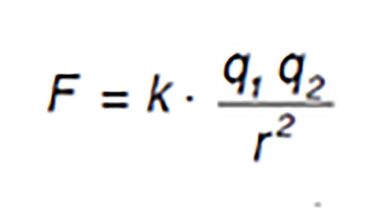
Secara matematis, hukum Coulomb dituliskan dengan:

Keterangan :
F : gaya tolak-menolak atau gaya tarik menarik (N)
k : konstanta dielektrik
r : jarak antara kedua muatan (m)
Q1 : muatan benda pertama (C)
Q2 : muatan benda kedua.
Terdapat beberapa catatan tentang persamaan Hukum Coulomb adalah bahwa persamaan tersebut:
- Hanya berlaku untuk muatan titik (artinya dimensi volume tidak diperhatikan)
- Nilai konstanta 9 x 109 N m2 C-2 hanya berlaku untuk muatan dalam vakum atau udara, untuk medium lain harganya akan berbeda
- Bila q dan q1 bertanda sama maka F akan bertanda positif. Tanda F positif menunjukkan bahwa kedua muatan tidak menolak. Sebaliknya jika tanda negative menunjukkan gaya yang saling menarik
- Gaya elektrostatik F merupakan besaran vektor, sehingga operasi padanya harus memnuhi ketentuan operasi pada besaran vector. Ini berarti jika terdapat beberapa muatan, maka gaya total yang dialami satu muatan merupakan resultan dari superposisi gaya oleh muatan-muatan lain.
Gaya Coulomb Muatan-Muatan Segaris
Besarnya gaya Coulomb pada suatu muatan yang dipengaruhi oleh beberapa muatan yang sejenis, langsung dijumlahkan secara vektor.
Gaya Coulomb yang terdapat pada muatan q1 dipengaruhi oleh muatan q2 dan q3 adalah F = F12 + F13. Apabila arah ke kanan dianggap positif dana rah kiri negatif, besar gaya Coulomb pada muatan:

Gaya Coulomb Muatan-Muatan yang Tidak Segaris
Besar gaya Coulomb untuk tiga buah muatan q1, q2, q3 pada muatan q1 dapat dicari dengan menggunakan rumus kosinus berikut:

Penulis: Endah Murniaseh
Masuk tirto.id





























