Endah Murniaseh

Indeks Tulisan

Pendidikan
Kamis, 16 Sept 2021

Cara Menggunakan Quizizz: Platform Kuis Interaktif Belajar Online

Berikut adalah cara menggunakan Quizizz, media belajar online yang dapat dimanfaatkan agar pembelajaran menjadi lebih menyenangkan
Pendidikan
Senin, 23 Agt 2021

Pengertian Amalgamasi Menurut Para Ahli Sosiologi dan Contohnya

Apa pengertian amalgamasi dalam Sosiologi menurut para sosiolog?
Film
Jumat, 20 Agt 2021

Urutan Menonton Film John Wick di Netflix dan Sinopsisnya

Berikut ini urutan menonton sekuel film John Wick di Netflix dan sinopsisnya. 
Kesehatan
Kamis, 19 Agt 2021

Jadwal dan Cara Daftar Vaksin COVID-19 di RSUI

Vaksinasi di RSUI dijadwalkan pada 2 Agustus hingga 12 Oktober 2021 dari pukul 08.00 hingga 14.00 WIB.
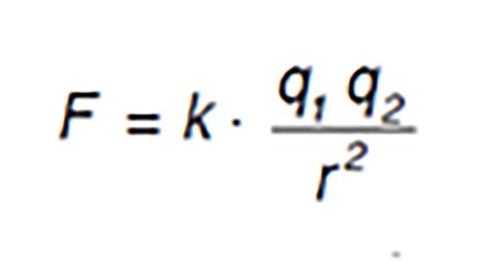
Pendidikan
Kamis, 19 Agt 2021

Bagaimana Bunyi Hukum Coulomb dan Rumusnya?

Mengetahui pengertian Hukum Coulomb yang ditemukan oleh Charles Agustin Coulomb pada 1785 masehi, beserta dengan rumusnya.
Pendidikan
Rabu, 18 Agt 2021

Kondisi Alam Benua Eropa, Keadaan Iklim, Penduduk & Flora-Fauna

Bagaimana kondisi alam di Benua Eropa, komposisi penduduk, dan jenis iklim di kawasan tersebut?
Kesehatan
Rabu, 18 Agt 2021

Pendaftaran Vaksin COVID-19 di Tasikmalaya: Jadwal & Cara Daftarnya

Untuk dapat mengikuti vaksinasi COVID-19 di Poltekkes Tasikmalaya, Anda bisa mengakses link https://bit.ly/vaksindipoltekkestasikmalaya.
Pendidikan
Rabu, 18 Agt 2021

Pengertian Menggambar Ilustrasi: Teknik, Jenis, Bahan dan Alat

Mengetahui pengertian menggambar ilustrasi, teknik, jenis, alat dan bahannya.
Sosial Budaya
Rabu, 18 Agt 2021

Tema Hari Kemanusiaan Sedunia 19 Agustus 2021: The Human Race

Tema Hari Kemanusiaan Sedunia 19 Agustus 2021 dan maknanya.
Pendidikan
Jumat, 6 Agt 2021

Urutan Organisasi Kehidupan Terkecil-Terbesar: Molekul-Sel-Biosfer

Organisasi kehidupan terdiri atas banyak tingkatan, dari yang terkecil molekul, sedangkan tingkatan tertinggi terdapat pada biosfer.